Полезная площадь покрытия шифером. Как рассчитать, сколько листов шифера нужно купить на крышу
- Полезная площадь покрытия шифером. Как рассчитать, сколько листов шифера нужно купить на крышу
- Размер шифера 6-волнового старого образца. Характеристики волнового шифера
- Размер шифера 8 волнового старого образца. Чем регулируются размеры волнового шифера
- Рабочий размер шифера. Эксплуатационно-физические параметры материала
- Размер 7 волнового шифера. 7-волновой шифер
- Размер шифера 8 волнового. Технические характеристики
- Полезная площадь шифера 8 волнового. 8-волновой шифер
Полезная площадь покрытия шифером. Как рассчитать, сколько листов шифера нужно купить на крышу
На сегодняшний день в Беларуси асбестовый шифер не используется, как кровельное покрытие при проектировании и строительстве новых домов, так как асбест содержит канцерогенные вещества. Если вы затеяли реконструкцию старой постройки или строительство дачного домика, на которые не распространяется регламент по использовании кровельных материалов, пока вы не зашли слишком далеко, рекомендуем рассмотреть в качестве кровли другие материалы.

Расчёт, сколько нужно шифера на крышу, можно выполнить без помощи специальных программ и онлайн-калькулятора. Для этого нужно знать размеры крыши, габариты листа и величину напуска.
Сколько квадратов может перекрыть шифер, зависит от полезной площади листа.
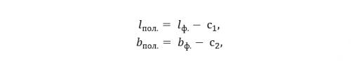
Важно! Полезная площадь – рабочая площадь листа, отличающаяся от фактической на величину напуска.

Рассчитать число асбестовых листов на один скат крыши можно по следующей методике:
- Зная, найти полезную длину и ширину:
где lпол., bпол.– рабочая длина и ширина шифера соответственно, м;

lф., bф.– фактическая длина и ширина листа соответственно, м;
2. Найти количество листов, укладываемых в горизонтальном ряду:

где – длина ската крыши, м;
– полезная ширина листа, м;
Полученное значение округлить в большую сторону к ближайшему целому числу.
3. Найти число горизонтальных рядов:

где – ширина ската крыши, м;
– полезная длина листа, м;
Полученное значение округлить в большую сторону к ближайшему целому числу.
4. Узнать требуемое количество листов на 1 скат:

Аналогичным образом рассчитать количество листов для других скатов. Полученные значения суммировать.
Пользуясь данной методикой, Вы сможете самостоятельно выполнить бесплатный расчёт кровли из шифера или другого листового материала.
Чтобы определить точное число листов, необходимых для устройства кровли, можно выполнить детальную раскладку шифера.
Важно! Расход кровельного материала напрямую зависит от конфигурации крыши, величины нахлёста. Поэтому для крыш сложных форм с большим числом изломов лучше купить мелкоразмерные кровельные материалы, к которым относится модульная металлочерепица, битумная черепица Ондулин и мягкая битумная кровля.
Размер шифера 6-волнового старого образца. Характеристики волнового шифера
Волнистый шифер чаще всего применяется в кровле. Размеры листа волнистого шифера зависят от его типа. Сегодня выделяют 2 типоразмера профиля:
- 40х150. У таких листов высота одной волны составляет 4 см, а длина между волнами – 15 см.
- 54х200 с высотой гребня 5,4 см и расстоянием между ними в 20 см.

Общие характеристики и габаритные размеры шифера волнового:
| Общие параметры листов | Типоразмер | Допустимые отклонения (мм) | Вес 1 листа в кг | |
| 40х150 | 54х200 | |||
| Длина (мм) | 1750 | 1750 | 15 | |
| Ширина (мм) | ||||
| 6-волновой | 1125 | +10/-5 | 26/35 | |
| 7-волновой | 980 | +10/-5 | 23,2 | |
| 8-волновой | 1130 | +10/-5 | 26,1 | |
| Толщина (мм) | 5,8 | 6,0; 7,5 | +1/-0,3 | |
| Высота одной волны | ||||
| Рядовая | 40 | 54 | +4/-3 | |
| Перекрывающая | 40 | 54 | +4/-5 | |
| Перекрываемая | 32 | 45 | +4/-6 | |
| Ширина перекрывающей кромки (1) | 43 | 60 | 7 | |
| Ширина перекрывающей кромки (2) | 37 | 65 | — | |
| Расстояние между волнами (шаг) | 150 | 200 | — |
Важно обратить внимание не только размер волнистого шифера, но и на вес панели. Он будет зависеть в первую очередь от количества волн, а также от толщины самого шифера.
Профиль 40х150 имеет такой вес:
- 7-волновые – 23,2 кг;
- 8-волновые – 26,1 кг.
Другой тип профиля (54х200) имеет немного больший вес: 7 волн – 26 кг, 8 волн – 35 кг.
Важно! Часто в расчет берется не вес одного листа, а вес 1 кв. м шифера.
Для чего нужно знать точный вес кровельного материала? Дело в том, что листы шифера довольно тяжелые и сами по себе сложные в установке. Кроме того, в наших регионах часто важно приплюсовать к весу листов еще и вес осадков (дождя или снега). Это позволит правильно рассчитать общую нагрузку на кровлю.
В нижеуказанной таблицы подробно рассмотрен вес листа волнового шифера – 1 листа и 1 кв.м:
| Размер листа и количество волн | Вес одного листа (кг) | Вес 1 кв.м кровельного материала (кг) |
| 1750х1135х5,2 мм, профиль 40х150, 7 волн | 18,5 | 9,487 |
| 1750х1135х5,2 мм, профиль 40х150, 8 волн | 20,6 | 10,4 |
| 1750х1135х5,8 мм, профиль 40х150, 7 волн | 23 | 11,8 |
| 1750х1135х5,2 мм, профиль 40х150, 8 волн | 26 | 13,35 |
| 1750х1135х6 мм, профиль 54х200, 8 волн | 26 | 13,35 |
| 1750х1135х7,5 мм, профиль 54х200, 8 волн | 35 | 17,97 |
В строительной среде особенно часто встречается так называемый шифер старого образца. Несмотря на слово «старый» в названии, его активно используют для кладки крыши. Размер шифера старого образца по ГОСТ: 1,2х0,68х0,05 м. Вес листа: 8,6 кг.
Источник: https://detali-interera.ru-land.com/stati/kakoy-standartnyy-razmer-shifera-predlozheniya-na-rynke
Размер шифера 8 волнового старого образца. Чем регулируются размеры волнового шифера
Многие источники, в том числе и вполне авторитетные, указывают ГОСТ 30340-95 в качестве нормативного документа, который описывает актуальные стандарты для волнового шифера, включая размеры. Это неверно. ГОСТ 30340-95 — устаревший документ, который утратил силу еще в 2013 году. Сейчас действует другой стандарт — ГОСТ 30340-2012 , который даже называется иначе: «Листы хризотилцементные волнистые» вместо «Листы асбестоцементные волнистые».
Разработчики нового ГОСТа убрали из названия пугающий асбест и заменили его нейтральным для неспециалиста хризотилом. Более того, и в самом тексте нового стандарта слово «асбест» встречается только дважды, и то — в названии организации, которая этот ГОСТ подготовила. Но это вовсе не значит, что шифер по новому стандарту перестал быть асбестовым.
Хризотил — это тоже вид асбеста, только об этом мало кто из частных застройщиков знает, чем и решили воспользоваться разработчики стандарта. Хотя хризотиловый асбест считается не таким опасным, как амфиболовый, он тоже относится к канцерогенам первой категории. Поэтому работать с хризотилцементным волновым шифером, независимо от размеров, нужно с соблюдением таких же мер предосторожности, как и в работе с материалом из амфиболового асбеста.
Это значит, что шифер нельзя резать абразивными кругами — при работе они создают целые облака из мелкодисперсной пыли, которые вредны сами по себе, даже если в них нет частичек асбеста. Для его монтажа вам понадобятся респиратор, очки и перчатки, а после окончания укладки кровельного покрытия необходимо обязательно смыть асбестовую пыль с кожи и волос, а также выстирать рабочую одежду.

Это же касается и стандарта для плоского шифера. Старый ГОСТ 18124-95 «Листы асбестоцементные плоские» с 2013 года уже не действует и заменен новым ГОСТ 18124-2012 «Листы хризотилцементные плоские».
Кроме того, некоторые виды шифера изготавливаются не по ГОСТу, а по техническим условиям ( ТУ ). В этом случае размер листа шифера и другие его эксплуатационные характеристики определяются самим производителем.
Поэтому если вы покупаете шифер для ремонта крыши или докупаете листы из-за ошибки в расчетах, обращайте внимание не только на количество волн и внешнюю схожесть, но и на фактические параметры. Иначе материал может просто не подойти: размеры шифера волнового, сделанного по ТУ и по ГОСТу, даже при одинаковом количестве волн могут отличаться.
Рабочий размер шифера. Эксплуатационно-физические параметры материала
Шифер волновой представляет собой прямоугольные асбоцементные листы стандартизированного размера, имеющие профиль в виде волн. Производится способом формовки из жидкой смеси хризотил-асбеста (10-20%), портландцемента (80-90%) и воды. При этом портландцемент здесь является вяжущим компонентом, а хризотил-асбест - армирующим заполнителем. Именно последний компонент фиксирует хрупкую цементную основу в заводской волнистой форме и формирует механически стойкую структуру.
Среди технических характеристик шифера волнового определяющими являются:
- Число волн.
Согласно действующему ГОСТ Р 30340-95 асбоцементные шиферные листы могут иметь 6-8 волн, причем наиболее практичными считаются семи- и восьмиволновые. Такому шиферу присуща малая разница между полезной и номинальной площадью, а значит в ходе монтажа кровли на перехлесты с двух сторон теряется минимальное количество материала. Шиферные листы шестиволновой фактуры в этом отношении заметно хуже, соответственно их расход на кровлю аналогичной площади на 5-10% больше. Помимо шести-, семи- и восьмиволновых, отдельные заводы выпускают асбоцементные листы с пятью волнами. Но поскольку госстандартом подобный материал не регламентирован, его качество и физические свойства определяются техническими условиями конкретного предприятия и могут существенно различаться у разных производителей.
- Размеры волнового профиля.
Характер геометрии шиферного листа зависит от шага волны и ее высоты. В соответствие с ГОСТ Р потребителям предлагается шифер двух типов сечения - 54/200 и 40/150. Здесь в числителе указывается высота рядовой волны в мм (расстояние между наивысшей и наинизшей точками таковой), а в знаменателе - ее шаг (расстояние между вершинами соседних волн) в мм. Для крайних волн, называемых перекрывающей и перекрываемой, вышеуказанные параметры имеют несколько иное цифровое выражение. Так, если рядовая и перекрывающая волны по высоте одинаковы, то перекрываемая немного ниже. К примеру, для листов 40/150 при высоте перекрывающей и рядовой волн в 40 мм перекрываемая волна имеет высоту 32 мм. При сечении материала 54/200 данные параметры составляют 54 мм и 45 мм соответственно.
- Толщина шифера.
Толщина асбоцементных листов напрямую зависит от геометрических характеристик волнового профиля. Так, стандартный шифер типа 40/150 имеет толщину 5,8 мм. Поскольку при увеличении размеров профиля до 54/200 во избежание растрескивания материала необходима большая толщина, госстандарт регламентирует последнюю в пределах 6-7,5 мм.
- Размеры шиферных листов.
Государственный стандарт устанавливает такие размеры листов волнового асбоцемента вне зависимости от размеров профиля:
- шестиволнового - 1750х1125 мм;
- семиволнового - 1750х980 мм;
- восьмиволнового - 1750х1130 мм.
Вместе с тем некоторые предприятия производят шифер нестандартизированных размеров, что порой затрудняет расчеты исполнителей относительно необходимого количества кровельного материала.
- Масса листов.
Данная характеристика зависит от типа профиля, числа волн и толщины конкретных листов. Вес шифера регламентируется госстандартом и находится в пределах от 23,2 кг (для семиволнового материала марки 40/150, 1750х1130х5,8 мм) до 35 кг (для восьмиволнового шифера марки 54/200, 1750х1130х7,5 мм).
- Колер покрытия.

Как правило, волновой шифер имеет бело-серый цвет. Но ряд предприятий стремятся расширить цветовую палитру производимой продукции за счет выпуска, помимо обычных, асбоцементных листов кирпичного, желтого, синего, зеленого и иных колеров. В процессе изготовления окрашивающие вещества либо вносят непосредственно в жидкую асбестовую массу на этапе производства шифера, либо окрашивают пигментированными составами уже готовые волновые листы. Первая технология дает стойкий цвет, поскольку пигмент заполняет всю толщу асбоцемента. Однако она по сей день не охвачена госстандартом и разрабатывается отдельными заводами на основе собственных ТУ. Второй путь декорирования шифера отвечает нормативам ГОСТ, при этом в качестве пигментов могут применяться полимерные, алкидные либо акриловые красители. Эти же краски рекомендуется использовать для самостоятельной окраски и декорирования материала, что позитивно меняет его эстетические качества и повышает срок службы. В любом случае колористическая отделка листов улучшает их в плане морозостойкости, механической прочности и водонепроницаемости.
Размер 7 волнового шифера. 7-волновой шифер
Шиферные листы с волнистым профилем на 7 волн имеют симметричные кромки и производятся толщиной 4,7; 5,2; 5,8 мм. Высота волны такого профиля составляет 40 мм, шаг волны 150 мм* .
По ширине семиволновой шифер (980 мм) меньше, чем восьмиволновой и даже, чем шестиволновой (профиля 41/177) и для покрытия крыши нужно большее количество листов. Но в случае, если площадь поверхности крыши хорошо перекроется такого типа листами, целесообразнее применить данный материал. Размер листа шифера влияет на вес материала, соответственно, различается и нагрузка от кровли, выполненной листами разного размера на стропильную систему и несущие стены.
Семиволновые листы изготавливаются на современном оборудовании, что обеспечивает гладкую поверхность и точные геометрические размеры.
ТЕХНИЧЕСКИЕ ХАРАКТЕРИСТИКИ И РАЗМЕРЫ 7- МИ ВОЛНОВОГО ШИФЕРА
| Высота волны | Шаг волны | Ширина | Длина | Толщина | Вес | Полезная площадь |
|---|---|---|---|---|---|---|
| 40 мм | 150 мм | 980 мм | 1750 мм | 4,7 мм 5,2 мм 5,8 мм | 18,8 кг 20,8 кг 23,2 кг | 1,336 м 2 |
| 40 мм | 150 мм | 980 мм | 525 мм 850 мм 1580 мм 1650 мм 1700 мм 1750 мм | 5,2 мм | 20,8 кг ** | 1,336 м 2*** |
П р и м е ч а н и я:
*Профиль 40/150 (СВ)
** Приведенные значения массы получены расчетным путем и являются справочными. При расчете массы листов приняты: длина 1750 мм и влажность 12 %
*** Полезная площадь приведена для листа длиной 1750 мм.
АССОРТИМЕНТ
Также как и остальные виды волнового шифера, 7-волновой выпускают окрашенным и неокрашенным. Палитра цветного шифера: зеленый, синий, красный, коричневый и оранжевый.
ПРИМЕНИЕ
Семиволновой шифер применяется как в жилом, так и в промышленном строительстве для покрытия крыш.
Размер шифера 8 волнового. Технические характеристики
Восьмиволновой шифер* - стандартный кровельный лист, который используется в строительстве в нашей стране уже более 60 лет. Он имеет симметричные кромки, требующие перекрытие листов на основании Высота волны такого профиля оставляет 40 мм и шаг волны 150 мм. Стандартная толщина составляет - 4,7; 5,2; 5,8 мм.
Облегченный восьмиволновой шиферный лист толщиной 4,7; 5,2 мм легче листа толщиной 5,8 мм, что снижает стоимость шифера и упрощает монтаж. При этом листы шифера с уменьшенной толщиной сохраняют все ключевые свойства этого продукта, и по прочности также превосходят другие кровельные материалы.
Восьмиволновые листы изготавливаются на современном оборудовании, что обеспечивает гладкую поверхность и точные геометрические размеры.
* Профиль 40/150 (СВ)
ТЕХНИЧЕСКИЕ ХАРАКТЕРИСТИКИ И РАЗМЕРЫ 8 - ВОЛНОВОГО ШИФЕРА
АССОРТИМЕНТ
8-волновой шифер выпускается как обычного серого цвета в неокрашенном варианте, так и в стандартных цветах: индиго (синий), зеленый, шоколад, оранжевый и красный. Окрашенный в заводских условиях, шифер более стоек к негативным воздействиям погоды. Покрытие без потери своих свойств держится до 6-7 лет.
ПРИМЕНЕНИЕ
Лист большей толщины применяется в регионах с высокой снеговой и ветровой нагрузкой. Более тонкий лист стоит применять в зонах умеренного климата. Листы восьмиволнового шифера преимущественно используют в жилом малоэтажном строительстве для покрытия крыш частных и многоквартирных домов, коттеджей, таунхаусов, нежилых построек (беседки, гаражи и пр).
Полезная площадь шифера 8 волнового. 8-волновой шифер
Восьмиволновой шифер* - стандартный кровельный лист, который используется в строительстве в нашей стране уже более 60 лет. Он имеет симметричные кромки, требующие перекрытие листов на основании Высота волны такого профиля оставляет 40 мм и шаг волны 150 мм. Стандартная толщина составляет - 4,7; 5,2; 5,8 мм.
Облегченный восьмиволновой шиферный лист толщиной 4,7; 5,2 мм легче листа толщиной 5,8 мм, что снижает стоимость шифера и упрощает монтаж. При этом листы шифера с уменьшенной толщиной сохраняют все ключевые свойства этого продукта, и по прочности также превосходят другие кровельные материалы.
Восьмиволновые листы изготавливаются на современном оборудовании, что обеспечивает гладкую поверхность и точные геометрические размеры.
* Профиль 40/150 (СВ)
ТЕХНИЧЕСКИЕ ХАРАКТЕРИСТИКИ И РАЗМЕРЫ 8 - ВОЛНОВОГО ШИФЕРА
АССОРТИМЕНТ
8-волновой шифер выпускается как обычного серого цвета в неокрашенном варианте, так и в стандартных цветах: индиго (синий), зеленый, шоколад, оранжевый и красный. Окрашенный в заводских условиях, шифер более стоек к негативным воздействиям погоды. Покрытие без потери своих свойств держится до 6-7 лет.
ПРИМЕНЕНИЕ
Лист большей толщины применяется в регионах с высокой снеговой и ветровой нагрузкой. Более тонкий лист стоит применять в зонах умеренного климата. Листы восьмиволнового шифера преимущественно используют в жилом малоэтажном строительстве для покрытия крыш частных и многоквартирных домов, коттеджей, таунхаусов, нежилых построек (беседки, гаражи и пр).